
Как Подключить Динамики к Магнитоле
Самое главное при соединении динамиков – выполнить соединение так, чтобы ни один из динамиков не был перегружен. Перегрузка грозит выходом из строя динамика.
Важно понимать, что на динамик можно подавать мощность либо меньше, либо равную номинальной, на которую он, собственно, и рассчитан. В противном случае, рано или поздно даже самый качественный динамик выйдет из строя из-за перегрузки.
Понятно, что перед соединением динамиков нужно определить их:
- Номинальную мощность (Вт, W);
Активное сопротивление звуковой катушки (Ом, Ω).
Всё это, как правило, указывается на магнитной системе динамика, либо на корзине.
1W - значит на 1Вт, 4Ω - сопротивление звуковой катушки.
Марка динамика - 3ГДШ-16. Первая цифра 3 - это номинальная мощность, 3 Вт. Рядом подпись - 8 Ом, сопротивление катушки.
Бывает и не указывают, но можно узнать по маркировке.
Среднечастотный динамик 15ГД-11-120. Номинальная мощность - 15 Вт, сопротивление катушки - 8Ω.
Соединение динамиков. Пример.
Давайте начнём так сказать с азов – наглядных примеров. Представим, что у нас есть 6-ти ваттный усилитель мощности звуковой частоты (УМЗЧ) и 3 динамика. Два динамика мощностью 1 Вт (сопротивление катушки 8 Ω каждый) и один динамик на 4 Вт (8 Ω). Задача состоит в том, чтобы подключить все 3 динамика к усилителю.
Сначала рассмотрим пример неверного соединения этих динамиков. Вот наглядный рисунок.
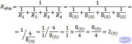
Как видим, сопротивления всех трёх динамиков одинаково и равно 8 Ω. Так как это параллельное соединение динамиков, то ток разделится поровну между 3-мя динамиками. При максимальной мощности усилителя (6 Вт) на каждый из динамиков будет приходиться по 2 Вт мощности. Ясно, что 2 из 3 динамиков будут работать с перегрузкой – те, чья номинальная мощность равна 1 Вт. Понятно, что такая схема соединения не годится.
Если бы усилитель выдавал на выходе всего 3 Вт звуковой мощности, то такая бы схема подошла, но динамик на 4 Вт работал бы не в полную силу - "филонил". Хотя это и не всегда критично.
Теперь возьмём пример верного соединения всё тех же динамиков. Применим, так называемое, смешанное соединение (и последовательное и параллельное).
Соединим последовательно два 1-ваттных динамика. В результате общее их сопротивление будет равно 16 Ω. Теперь параллельно им подключаем 4-ёх ваттный динамик сопротивлением 8 Ω.

